Logo
About Us
Products
Cables
Current Meter
Force Gauge
Others
Spot Welding Machine
Spot/Projection Welding
Welding Consumable Parts
Welding Machine
Welding Timer
Welding Tool
Brands
News
Worldwide
Tech Support
Resistance Welding
Laser Welding
Laser Marking
Others Welding
Contact Us
LinkedIn
Twitter
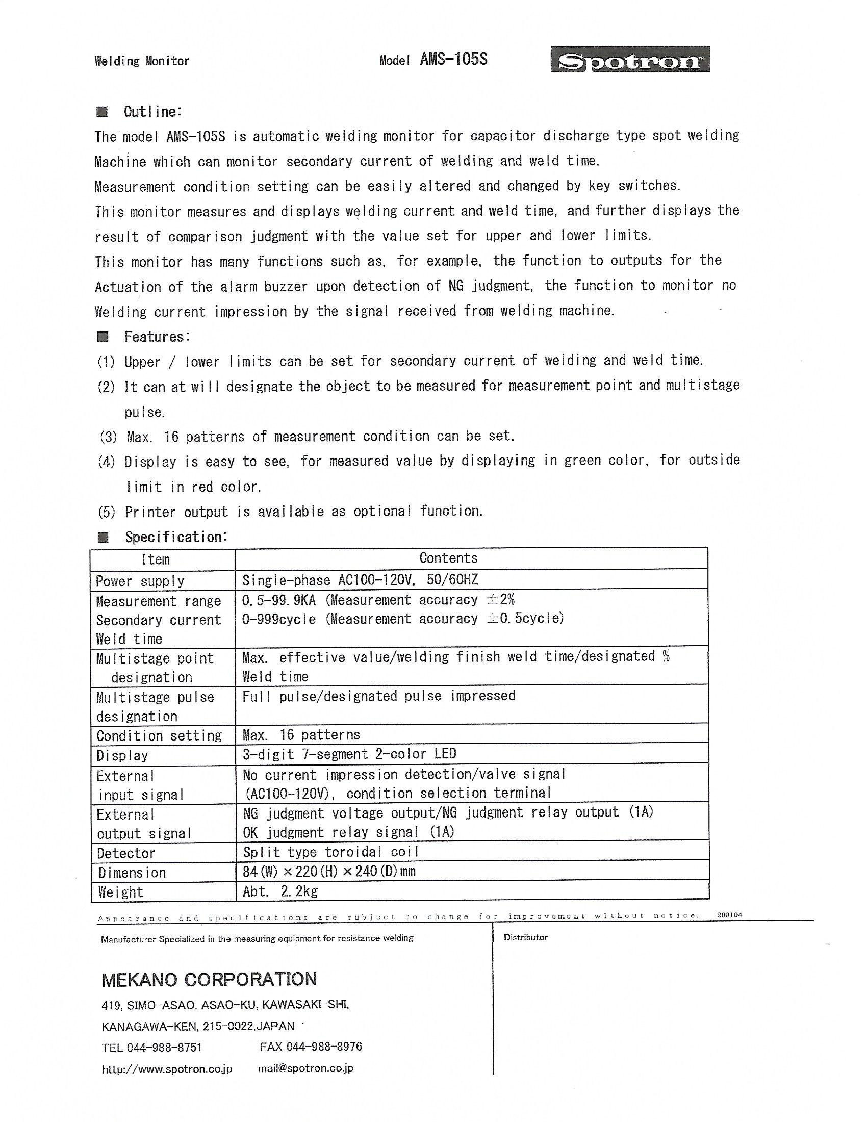
Spotron Welding Monitor (AMS-105S)